iv特性曲線,mos管的iv特性曲線-KIA MOS管
信息來源:本站 日期:2024-04-11
iv特性曲線-伏安特性曲線,即電流-電壓曲線。iv特性曲線定義了電子設備的工作特性。這里的電壓指的是源漏偏壓,電流指的是漏電極電流。iv特性曲線是雙電極器件體系性能模擬的主要目的。
IV特性曲線,它是的縮寫電氣設備或部件的電流 - 電壓特性曲線或簡稱IV曲線是一組圖形曲線,用于定義其在電路中的操作。顧名思義,IV特性曲線顯示流過電子器件的電流與其端子上施加的電壓之間的關系。
IV特性曲線通常用作工具確定和理解組件或設備的基本參數,并且還可以用于在電子電路中對其行為進行數學建模。但與大多數電子設備一樣,有無數個IV特征曲線代表各種輸入或參數,因此我們可以在同一圖表上顯示一系列曲線或一組曲線來表示各種值。
MOSFET的輸出特性
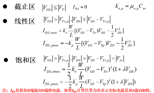
MOS管電流電壓方程
聯系方式:鄒先生
聯系電話:0755-83888366-8022
手機:18123972950(微信同號)
QQ:2880195519
聯系地址:深圳市福田區金田路3037號金中環國際商務大廈2109
請搜微信公眾號:“KIA半導體”或掃一掃下圖“關注”官方微信公眾號
請“關注”官方微信公眾號:提供 MOS管 技術幫助
免責聲明:本網站部分文章或圖片來源其它出處,如有侵權,請聯系刪除。
