金鹵燈鎮流器 MOS管應用、設計方案等介紹及工作原理詳解-KIA MOS管
信息來源:本站 日期:2018-08-23
金屬鹵化物燈(以下簡稱金鹵燈)是一種氣體放電燈,通過一個產生光電弧通過氣化的氣體混合物的汞和金屬鹵化物 (具有金屬的化合物的溴或碘)。它是一種類型的高強度放電(HID)氣體放電燈。在20世紀60年代開發的,它們類似于汞蒸氣燈,但包含在附加的金屬鹵化物石英弧光管,其提高了效率和色彩還原的光。最常用的金屬鹵化物是碘化鈉。一旦電弧管到達其運行溫度時,鈉從碘離解,添加橙色和紅色從鈉D線的燈的光譜作為金屬電離。其結果是,金鹵燈具有較高的發光效率每瓦左右75-100流明,是汞的兩倍左右蒸氣燈和3至5倍的白熾燈,并產生強烈的白色光。燈泡壽命為6000至15000小時。由于采用的最有效的來源之一CRI白光,金屬鹵化物在2005年進行了照明行業中增長最快的領域。它們用于廣區頂部照明商業,工業和公共場所,如停車場,運動場,工廠和零售商店,以及住宅的安全照明和汽車前大燈(氙氣大燈)。
該燈由一小的熔融石英或陶瓷 電弧管,其中包含的氣體和電弧,封閉其具有一涂層,以篩選出一個較大的玻璃燈泡內的紫外光產生的。它們在之間的壓力下操作圖4和20個大氣壓,以及需要特殊的夾具安全地操作,以及電鎮流器。金屬原子產生大部分的光輸出。他們需要幾分鐘的預熱期達到全光輸出。

由于高CRI白光的最有效的來源之一,金屬鹵化物在2005年是照明行業中增長最快的領域。它們用于廣域頂燈商業,工業和公共場所,如停車場,運動場,工廠和零售商店,以及小區保安照明和汽車前大燈(氙氣大燈) 。圖示出在385nm,422nm,497nm,540nm處,564nm,583nm(最高),630nm的,和674nm峰值的典型的金鹵燈的輸出光譜。
電子鎮流器35W金鹵燈泡電弧中的金鹵燈,在所有氣體放電燈具有負電阻特性; 也就是說,只要通過燈泡的電流增加時,電壓兩端減小。如果燈泡是從一個恒壓源供電,如直接從交流布線,電流將增加,直到燈泡破壞本身; 因此,鹵化物燈泡需要電鎮流器限制電弧的電流。
有兩種類型:
電感鎮流器 -許多裝置使用一個電感鎮流器,也被稱為磁鎮流器,類似于那些與所用的熒光燈。這包括一個鐵芯的電感器。電感器提供了一個阻抗AC電流。如果通過燈的電流增加,電感減少,以保持電流受限的電壓。電子鎮流器 -這些更輕,更緊湊。它們由一個的電子振蕩器,其產生高頻電流以驅動燈。因為他們有比電感鎮流器低電阻損失,他們是更節能。然而,高頻率操作不增加燈效率作為熒光燈。
脈沖啟動的金鹵燈泡不包含起始電極,它撞擊弧,并且需要的點火器,以產生一個高電壓(1-5千伏冷擊,用在熱重燃30千伏)脈沖來啟動弧。電子鎮流器包括在一個包中的點火器電路。美國國家標準協會(ANSI)的燈鎮流器系統標準建立的所有的金屬鹵化物組分的參數(與一些較新的產品除外)。
自鎮流燈截至2012年,有幾家公司已經開始提供自鎮流金鹵燈直接取代白熾燈和自鎮流水銀燈。這些燈包括具有起動電極的電弧管,以及一個管狀的鹵素燈,其連接在串聯和用于調節在弧光管的電流。電阻提供限制的起始電極的電流。像自鎮流汞汽燈,自鎮流金鹵燈直接連接到主電源,并且不需要外部鎮流器。與此相反的前,這些燈通常具有明確的外部燈泡沒有涂層,使得在電弧管和鹵素燈管顯然從外部可見的。
色溫
由于所產生的更白,更自然光,金鹵燈最初首選的藍色水銀燈。隨著引進專業化金屬鹵化物混合物,金鹵燈,現已與相關色溫從3000 K至20000 K.色溫可以從燈稍有變化,以燈,并且這種作用是明顯的地方有許多的燈被使用。因為燈的色彩特性趨向燈的壽命期間改變,根據燈泡已被燒毀,100小時(調味)之后的顏色被測量的ANSI標準。較新的金屬鹵化物的技術,被稱為“脈沖啟動”,具有改善的顯色性和更可控的開爾文方差(±100至200開爾文)。
金鹵燈的色溫也可以通過電氣系統的供電在燈泡本身的燈泡和制造差異的電特性的影響。如果一個金鹵燈泡是因為較低的動力不足,操作溫度,其光輸出將是因為汞的單獨的蒸發的藍色。這種現象可以升溫期間中可以看出,當弧光管尚未達到整個工作溫度和鹵化物還沒有完全蒸發。它也與調光鎮流器非常明顯的。逆是真實的一個燈泡過于強大,但是,這個條件可能是危險的,可能導致電弧管爆炸,因為過熱和過壓。
啟動和預熱
通電后,400瓦金鹵燈不久“冷”(下操作溫度)的金鹵燈不能立即開始產生其充分的光量,因為在內側弧室中的溫度和壓力所需要的時間來達到完全的操作水平。啟動初始氬弧焊(或氙汽車)有時需要幾秒鐘,(取決于燈泡類型)的預熱期可長達五分鐘。在此期間,該燈顯示出不同顏色的各種金屬鹵化物在電弧室汽化。
如果電源中斷,甚至簡單地說,在燈的電弧熄滅,而存在于熱發光管的高壓力將防止再起弧的弧;與正常的點火器的5-10分鐘冷卻期將要求可重新啟動燈之前,但具有特殊點火器而特別設計的燈,電弧可以立即重新建立。在沒有瞬間重燃能力燈具,電源的瞬間損失可能意味著沒有光線幾分鐘。為安全起見,許多金鹵燈具有冷卻和再起弧期間工作備份鹵鎢燈的白熾燈。一旦金屬鹵化物restrikes和升溫,白熾燈光安全關閉。溫暖的燈也往往需要更多的時間比開始徹底的涼了一盞燈充分發揮其亮度。所有的HID電弧管強度降低了他們的一生,因為各種因素,如化學腐蝕,熱應力和機械振動。隨著燈的老化電弧管變色,吸收光線和越來越熱。管將繼續成為弱直到它最終失敗,從而導致管的破裂。
盡管這樣的失敗與壽命的結束相關聯,電弧管可以在任何時候會失敗,因為看不見制造缺陷如顯微裂紋的甚至是新的時候,。然而,這是相當少見的。制造商通常“旺季”的新燈檢查這些缺陷燈離開制造商的房舍之前。由于金鹵燈含有一顯著高壓氣體(最多至50psi),電弧管的失敗是不可避免暴力事件。電弧管的片段被發射,以極高的速度,在所有方向上,引人注目的有足夠的力在燈的外燈泡以使其斷裂。如果燈具沒有二級防護(如鏡頭,碗或屏蔽),那么碎片極熱片會掉下來砸到人員和財產的光線之下,有可能造成嚴重傷害,損壞,并可能造成重大建筑火災如果易燃物質存在。
為了確保金鹵燈不出現聲諧振,電子鎮流器一般工作于低頻方波狀態。傳統的低頻方波電子鎮流器包括3級結構:功率因數校正電路、降壓電路和全橋逆變電路。這種結構非常復雜而且造成了鎮流器的成本昂貴。簡化電路、降低成本已經成為如今研究的重點。一種方法就是把前兩級功率因數校正和降壓電路組成一級。這種方法可以減小鎮流器的體積,但是可能伴隨帶來的問題就是降低了功率因數校正電路的表現,增加了開關器件的應力等不利因素。另一種方法就是把降壓電路和逆變電路組合在一起。這種方法可以降低鎮流器的體積和成本,但是控制方法可能相對復雜。
組合降壓電路和半橋逆變電路在一起的方案是現在比較流行而且可行的方法。因為這種方式的電路相對最為簡單,成本最低。為了促進這種方案的廣泛應用,簡化它的控制方法,克服這種電路的缺點,提高它的可靠性就成為研究的重點。
本文對此種電路提出了一種新型控制方法,并且提出一種簡單有效的方法克服此電路在輸出電流換向時發生的電流過沖問題,降低了波峰系數。
1 電路描述
電路的結構框圖如圖1所示。

2.電路工作模態的分析
S1、S2的門極信號如圖2所示。當S1工作于高頻狀態時,S2被斷開。此時,電路等效于一個Buck電路,S1相當于主功率開關,而S2的體二極管相當于Buck的二極管。兩個開關管的工作狀態會以400Hz的一個頻率交替變化。這樣,就可以得到一個低頻的方波電流輸出供給燈。

二極管關斷時存在一個反向恢復問題,這會大大增加器件的開關損耗。為了避免這種情況的發生,我們讓電路工作在電流斷續狀態下。圖3是逆變級Buck電感電流的狀態示意圖。

當S1工作于高頻狀態而S2斷開時,電路工作于3種工作模式。
1.模式1
S1開通,電流流過C1、S1、Rs、燈、點火電感和Lc圖4是這種模式的等效電路圖。其中點火電感的電感量遠遠小于電感L的電感量,假設電容C上的電壓在每個開關周期中保持不變,電感L上的電壓VL為


S1斷開,由于電感電流不能突變,電流流過Rs、燈、點火電感、L、C2和D2o。圖5是此種模式的等效電路圖。電感L的電壓為

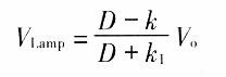
S1仍然處于斷開狀態。但是電感£的電流降為零。此時,電容C給燈提供能量,電流流過C、Rs、燈和點火電感。圖6是此種工作模式的等效電路圖。假設電容足夠大,電容上的電壓保持不變,我們能夠從式(1)、式(2)中得到輸出的燈電壓為(插圖)

式中:系數k1與電感電流下降時間有關,在圖3中有著明確的表示。
當S1斷開,S2工作于高頻開關狀態時,電路的工作過程基本上和上面的分析一致。
根據上面的分析,在每半個低頻周期內半橋逆變電路可以等效為一個Buck降壓電路。從而一個半橋逆變電路既可以提供給燈一個合適的T作電壓又能使燈工作于低頻方波狀態。

1.2 閉環控制
因為金鹵燈的負阻特性,為此我們控制鎮流器的輸出呈現為電流源的特性,以保證燈的穩定工作。圖7是半橋電路的控制方法框圖。通過Rs采樣燈電流。采樣電阻Rs上的電壓是一個低頻的方波信號。首先通過運放l把這個信號放大,然后經過一個整流電路把這個交流的方波信號整流成直流,再經過RC濾波后進行PI調節,調節輸出為一個恒流源。可見這種控制方法等效于DC/DC的控制方法,簡單且有效。(插圖)

1.3 電流過沖
但是,這個電路存在一個嚴重問題就是在每個輸出電流換向的瞬間會有很大的電流過沖。這樣的尖峰電流會大大降低燈的使用壽命。本文提出了一種簡單有效的方法克服這個問題。
圖8是半橋驅動門極信號的產生電路,其中的D觸發器、兩個與門和兩個或非門組合在一起用來減小驅動信號的占空比。而這個功能由控制腳(CP)來控制,當CP為高時,驅動的占空比就可以減小為大約原來的一半。這樣我們就可以在每個輸出電流換向的瞬間給CP一個高電平,減小驅動的占空比,以大大減小甚至消除過沖電流。圖9為一個簡單CP控制信號的產牛電路。圖7為腳CP信號與低頻逆變信號的時序圖。(插圖)


2 實驗結果
采用上述控制方法的一個70W金鹵燈電子鎮流器樣機已經完成。電路主要參數如下。
L="380" μH;
C=1μF;
Vo="200V";
fh="100" kHz;
f1=400Hz。
其中:fh為半橋電路驅動的高頻和低頻頻率;
f1為半橋電路驅動的低頻頻率。
圖11顯示了輸出電流換向時驅動信號的變化。圖12為輸出電流換向時電感電流的變化,可以看到電流的過沖相當小。圖13為點火脈沖,由于點火是在低頻情況下進行,所以點火成功率很高。圖14為燈正常工作時的電流和電壓波形,可以看出燈電流基本沒有電流過沖的情況發生。整機效率約為90%,波峰系數為1.1。(插圖)



以下為金鹵燈鎮流器常用MOS管,這里為部分型號,想咨詢更多型號及封裝詳情請聯系我們。
聯系方式:鄒先生
聯系電話:0755-83888366-8022
手機:18123972950
QQ:2880195519
聯系地址:深圳市福田區車公廟天安數碼城天吉大廈CD座5C1
請搜微信公眾號:“KIA半導體”或掃一掃下圖“關注”官方微信公眾號
請“關注”官方微信公眾號:提供 MOS管 技術幫助