10分鐘快速充放電,浙大開發電池新方案-KIA MOS管
信息來源:本站 日期:2024-03-01
據浙江大學官微,浙江大學材料科學與工程學院范修林研究員團隊開發并驗證了一套新型極端電解液設計原則,打破了傳統的鋰離子傳輸模式,并為具備特殊物化性質的電解液開辟了一條全新的研究途徑。
近期,浙大研究團隊開發并驗證了一套新型極端電解液設計原則,打破了傳統的鋰離子傳輸模式,并為具備特殊物化性質的電解液開辟了一條全新的研究途徑。基于此理念,團隊設計出一款新型電解液,不僅能夠支持高比能鋰離子電池在-70℃到60℃的超寬溫區內進行可逆地充放電,還可以使得高能量密度鋰離子電池在10分鐘內完成快速充放電。
鋰電池快速充電及低溫性能難點
鋰電池要實現快充,意味著在整個體系中鋰離子都要實現快速的遷移。
目前認為,鋰離子在電解液及電解液-電極界面膜中的遷移為整個過程中的速度控制步驟。而界面膜又是電解液原位生成的,與電解液的性質密切相關。
綜合來講,在鋰離子電池中要實現快充的突破,電解液的特性至關重要。
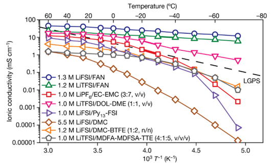
相關測試數據表明,浙大提出的新型電解液在25℃室溫下的離子電導率是商用電解液的4倍;在-70℃時高于商用電解液3個數量級以上。“在同等條件下,我們設計的鋰離子電池,能夠實現充電10分鐘,達到八成充電量,展現出超快的離子傳輸行為。”快充性能優異,也意味著低溫充放電性能較為優異,“在低溫下我們的電池也能展現出良好的性能”。
不同電解液的離子電導率。其中所篩選出的FAN電解液體系的離子電導率在整個溫區(+60℃ — -70℃)都遠高于其他體系
范修林認為,當前電池成本較高,可以率先在極地科考、空間探測、海底勘探等極端溫度情況中應用。而隨著電解液技術的不斷攻關迭代,范修林對新型鋰離子電池裝配到新能源汽車很有信心。
聯系方式:鄒先生
聯系電話:0755-83888366-8022
手機:18123972950(微信同號)
QQ:2880195519
聯系地址:深圳市福田區金田路3037號金中環國際商務大廈2109
請搜微信公眾號:“KIA半導體”或掃一掃下圖“關注”官方微信公眾號
請“關注”官方微信公眾號:提供 MOS管 技術幫助
免責聲明:本網站部分文章或圖片來源其它出處,如有侵權,請聯系刪除。
