分析LLC諧振半橋變換器及失效模式-KIA MOS管
信息來源:本站 日期:2022-04-28
在功率變換市場中,尤其對于通信/服務器電源應用,不斷提高功率密度和追求更高效率已經成為具挑戰性的議題。對于功率密度的提高,普遍方法就是提高開關頻率,以便降低無源器件的尺寸。
零電壓開關(ZVS)拓撲因具有極低的開關損耗、較低的器件應力而允許采用高開關頻率以及較小的外形,從而越來越受到青睞。這些諧振變換器以正弦方式對能量進行處理,開關器件可實現軟開閉,因此可以大大地降低開關損耗和噪聲。
在這些拓撲中,相移ZVS全橋拓撲在中、高功率應用中得到了廣泛采用,因為借助功率MOSFET的等效輸出電容和變壓器的漏感可以使所有的開關工作在ZVS狀態下,無需額外附加輔助開關。
然而,ZVS范圍非常窄,續流電流消耗很高的循環能量。近來,出現了關于相移全橋拓撲中功率MOSFET失效問題的討論。這種失效的主要原因是:在低反向電壓下,MOSFET體二極管的反向恢復較慢。
另一失效原因是:空載或輕載情況下,出現Cdv/dt直通。在LLC諧振變換器中的一個潛在失效模式與由于體二極管反向恢復特性較差引起的直通電流相關。即使功率MOSFET的電壓和電流處于安全工作區域,反向恢復dv/dt和擊穿dv/dt也會在如啟動、過載和輸出短路的情況下發生。
LLC諧振變換器與傳統諧振變換器相比有如下優勢:
寬輸出調節范圍,窄開關頻率范圍
即使空載情況下,可以保證ZVS
利用所有的寄生元件,來獲得ZVS
LLC諧振變換器可以突破傳統諧振變換器的局限。正是由于這些原因,LLC諧振變換器被廣泛應用在電源供電市場。LLC諧振半橋變換器拓撲如圖1所示,其典型波形如圖2所示。
圖1中,諧振電路包括電容Cr和兩個與之串聯的電感Lr和Lm。作為電感之一,電感Lm表示變壓器的勵磁電感,并且與諧振電感Lr和諧振電容Cr共同形成一個諧振點。重載情況下,Lm會在反射負載RLOAD的作用下視為完全短路,輕載情況下依然保持與諧振電感Lr串聯。
因此,諧振頻率由負載情況決定。Lr和Cr決定諧振頻率fr1,Cr和兩個電感Lr、Lm決定第二諧振頻率fr2,隨著負載的增加,諧振頻率隨之增加。諧振頻率在由變壓器和諧振電容Cr決定的大值和小值之間變動,如公式1、2所示。
啟動失效模式
圖3和圖4給出了啟動時功率MOSFET前五個開關波形。 在變換器啟動開始前,諧振電容和輸出電容剛好完全放電。與正常工作狀況相比,在啟動過程中,這些空電容會使低端開關Q2的體二極管深度導通。
因此流經開關 Q2體二極管的反向恢復電流非常高,致使當高端開關 Q1導通時足夠引起直通問題。啟動狀態下,在體二極管 反向恢復時,非常可能發生功率MOSFET的潛在失效。 圖5給出了LLC諧振半橋變換器啟動時的簡化波形。
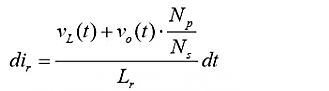
圖6給出了可能出現潛在器件失效的工作模式。在t0~t1時 段,諧振電感電流Ir變為正。由于MOSFET Q1處于導通 狀態,諧振電感電流流過MOSFET Q1 溝道。當Ir開始上 升時,次級二極管D1導通。
因此,式3給出了諧振電感 電流Ir的上升斜率。因為啟動時vc(t)和vo(t)為零,所有的 輸入電壓都施加到諧振電感Lr的兩端。這使得諧振電流劇增。
在t1~ t 2時段,MOSFET Q1門極驅動信號關斷,諧振電感 電流開始流經MOSFET Q2的體二極管,為MOSFET Q2產生 ZVS條件。這種模式下應該給MOSFET Q2施門極信號。
由于諧振電流的劇增,MOSFET Q2體二極管中的電流比正 常工作狀況下大很多。導致了MOSFET Q2的P-N結上存儲 更多電荷。
在t2~t3時段,MOSFET Q2施加門極信號,在t0~t1時段 劇增的諧振電流流經MOSFET Q2溝道。由于二極管D1 依然導通,該時段內諧振電感的電壓為:
該電壓使得諧振電流ir(t)下降。然而,
很小,并不足以在這個時間段 內使電流反向。在t3時刻,MOSFET Q2電流依然從源 極流向漏極。另外,MOSFET Q2的體二極管不會恢復,因為漏源極之間沒有反向電壓。
下式給出了諧振 電感電流Ir的上升斜率:
在t3~t4時段,諧振電感電流經MOSFET Q2體二極管續 流。盡管電流不大,但依然給MOSFET Q2的P-N結增加 儲存電荷。
聯系方式:鄒先生
聯系電話:0755-83888366-8022
手機:18123972950
QQ:2880195519
聯系地址:深圳市福田區車公廟天安數碼城天吉大廈CD座5C1
請搜微信公眾號:“KIA半導體”或掃一掃下圖“關注”官方微信公眾號
請“關注”官方微信公眾號:提供 MOS管 技術幫助
免責聲明:本網站部分文章或圖片來源其它出處,如有侵權,請聯系刪除。
